Pada permukaan air yang bergelombang dan tak berarus terdapat dua benda titik A dan B yang terapung berjarak mendatar 320 cm. kedua benda titik itu berada di puncak bukit gelombang dan diantara keduanya terdapat 3 buah bukit gelombang. jika kedua benda titik itu mengalami 5 kali berada di puncak bukit gelombang tiap sekon, maka cepat rambat gelombang permukaan air itu adalah….
A. 0,16 m/s
B. 0,4 m/s
C. 4 m/s
D. 16 m/s
E. 20 m/s
Jawaban :
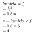
Penjelasan : C. 4 m/s
Penjelasan:
s = 320 cm
n = 4
f = 5 Hz
V = …..

Disclaimer : Ini merupakan pembahasan kunci jawaban untuk soal Pada permukaan air yang bergelombang dan tak berarus terdapat dua benda titik A dan B yang terapung berjarak mendatar 320 cm. kedua benda titik itu berada di puncak bukit gelombang dan diantara keduanya terdapat 3 buah bukit gelombang. jika kedua benda titik itu mengalami 5 kali berada di puncak bukit gelombang tiap sekon, maka cepat rambat gelombang permukaan air itu adalah yang sifatnya sebagai referensi orangtua untuk membantu anak-anaknya dalam belajar.
Jawaban dari soal-soalnya ini mungkin tidak mutlak kebenarannya, jadi para orang tua dan siswa bisa mengembangkannya menjadi jawaban yang lebih baik dan benar. dengan mencari jawabannya dari buku sekolah sesuai kurikulum yang diterbitkan oleh pemerintah Indonesia.
